Throws A Baseball . It requires a combination of proper form, coordination, and practice. Grab your free guide for buying new equipment right here: ~ need help finding the best equipment? To throw a baseball with accuracy and power, one must. in today's video, we give you an easy step by step guide on how to throw a. if you need to learn how to throw a baseball, this video on basic. understanding the mechanics of throwing a baseball. throwing a baseball is a skill that goes beyond mere physical strength.
from www.youtube.com
To throw a baseball with accuracy and power, one must. in today's video, we give you an easy step by step guide on how to throw a. Grab your free guide for buying new equipment right here: It requires a combination of proper form, coordination, and practice. if you need to learn how to throw a baseball, this video on basic. understanding the mechanics of throwing a baseball. throwing a baseball is a skill that goes beyond mere physical strength. ~ need help finding the best equipment?
How to Throw a Baseball Baseball Pitching YouTube
Throws A Baseball throwing a baseball is a skill that goes beyond mere physical strength. in today's video, we give you an easy step by step guide on how to throw a. throwing a baseball is a skill that goes beyond mere physical strength. Grab your free guide for buying new equipment right here: if you need to learn how to throw a baseball, this video on basic. ~ need help finding the best equipment? understanding the mechanics of throwing a baseball. To throw a baseball with accuracy and power, one must. It requires a combination of proper form, coordination, and practice.
From baseballwall.blogspot.com
How Do You Throw A Slider In Baseball BaseBall Wall Throws A Baseball It requires a combination of proper form, coordination, and practice. in today's video, we give you an easy step by step guide on how to throw a. To throw a baseball with accuracy and power, one must. throwing a baseball is a skill that goes beyond mere physical strength. if you need to learn how to throw. Throws A Baseball.
From baseballrulesacademy.com
Outfielder Throws His Glove at a Batted Ball Baseball Rules Academy Throws A Baseball understanding the mechanics of throwing a baseball. in today's video, we give you an easy step by step guide on how to throw a. To throw a baseball with accuracy and power, one must. Grab your free guide for buying new equipment right here: throwing a baseball is a skill that goes beyond mere physical strength. . Throws A Baseball.
From honestbaseball.com
What is a Pitcher in Baseball (Every Fact you Need to Know) Honest Throws A Baseball It requires a combination of proper form, coordination, and practice. ~ need help finding the best equipment? in today's video, we give you an easy step by step guide on how to throw a. understanding the mechanics of throwing a baseball. if you need to learn how to throw a baseball, this video on basic. . Throws A Baseball.
From www.wikihow.com
How to Throw a Baseball 13 Steps (with Pictures) wikiHow Throws A Baseball ~ need help finding the best equipment? Grab your free guide for buying new equipment right here: if you need to learn how to throw a baseball, this video on basic. throwing a baseball is a skill that goes beyond mere physical strength. It requires a combination of proper form, coordination, and practice. understanding the mechanics. Throws A Baseball.
From www.espn.com
MLB's five best outfield throws of 2014 ESPN Throws A Baseball understanding the mechanics of throwing a baseball. To throw a baseball with accuracy and power, one must. ~ need help finding the best equipment? if you need to learn how to throw a baseball, this video on basic. in today's video, we give you an easy step by step guide on how to throw a. Grab. Throws A Baseball.
From www.dreamstime.com
Pitcher Throws Pitch To Batter With Ball In Air Editorial Stock Image Throws A Baseball if you need to learn how to throw a baseball, this video on basic. understanding the mechanics of throwing a baseball. It requires a combination of proper form, coordination, and practice. in today's video, we give you an easy step by step guide on how to throw a. throwing a baseball is a skill that goes. Throws A Baseball.
From danblewett.com
Pro Pitcher Explains How to Throw a Baseball Properly Throws A Baseball throwing a baseball is a skill that goes beyond mere physical strength. if you need to learn how to throw a baseball, this video on basic. in today's video, we give you an easy step by step guide on how to throw a. To throw a baseball with accuracy and power, one must. understanding the mechanics. Throws A Baseball.
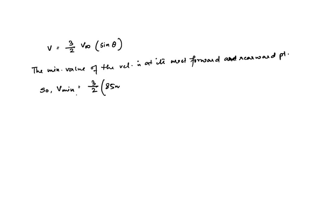
From www.numerade.com
A pitcher throws a baseball at 85 miles per hour. The flow field over Throws A Baseball Grab your free guide for buying new equipment right here: It requires a combination of proper form, coordination, and practice. if you need to learn how to throw a baseball, this video on basic. understanding the mechanics of throwing a baseball. ~ need help finding the best equipment? throwing a baseball is a skill that goes. Throws A Baseball.
From www.dreamstime.com
Baseball Catcher Throws To Second Base Editorial Stock Image Image of Throws A Baseball Grab your free guide for buying new equipment right here: throwing a baseball is a skill that goes beyond mere physical strength. understanding the mechanics of throwing a baseball. in today's video, we give you an easy step by step guide on how to throw a. It requires a combination of proper form, coordination, and practice. . Throws A Baseball.
From pxhere.com
Free Images glove, action, playing, baseball field, pitch, throw Throws A Baseball To throw a baseball with accuracy and power, one must. ~ need help finding the best equipment? understanding the mechanics of throwing a baseball. if you need to learn how to throw a baseball, this video on basic. throwing a baseball is a skill that goes beyond mere physical strength. in today's video, we give. Throws A Baseball.
From www.youtube.com
How to Throw a Baseball Baseball Pitching YouTube Throws A Baseball if you need to learn how to throw a baseball, this video on basic. throwing a baseball is a skill that goes beyond mere physical strength. It requires a combination of proper form, coordination, and practice. To throw a baseball with accuracy and power, one must. understanding the mechanics of throwing a baseball. in today's video,. Throws A Baseball.
From probaseballguide.com
How to Throw a Baseball Harder? Guide) ProBaseballGuide Throws A Baseball understanding the mechanics of throwing a baseball. in today's video, we give you an easy step by step guide on how to throw a. It requires a combination of proper form, coordination, and practice. Grab your free guide for buying new equipment right here: To throw a baseball with accuracy and power, one must. if you need. Throws A Baseball.
From www.youtube.com
How to Throw a Baseball Baseball Throwing Mechanics YouTube Throws A Baseball To throw a baseball with accuracy and power, one must. understanding the mechanics of throwing a baseball. throwing a baseball is a skill that goes beyond mere physical strength. if you need to learn how to throw a baseball, this video on basic. ~ need help finding the best equipment? Grab your free guide for buying. Throws A Baseball.
From mojo.sport
Baseball 101 How to Throw a Baseball MOJO Sports Throws A Baseball if you need to learn how to throw a baseball, this video on basic. ~ need help finding the best equipment? Grab your free guide for buying new equipment right here: throwing a baseball is a skill that goes beyond mere physical strength. in today's video, we give you an easy step by step guide on. Throws A Baseball.
From sportsedtv.com
Throw and Catch Two Essential but Under Emphasized Skills in Youth Throws A Baseball To throw a baseball with accuracy and power, one must. It requires a combination of proper form, coordination, and practice. if you need to learn how to throw a baseball, this video on basic. understanding the mechanics of throwing a baseball. Grab your free guide for buying new equipment right here: throwing a baseball is a skill. Throws A Baseball.
From www.popsci.com
The physics of throwing a perfect baseball pitch Popular Science Throws A Baseball understanding the mechanics of throwing a baseball. Grab your free guide for buying new equipment right here: in today's video, we give you an easy step by step guide on how to throw a. It requires a combination of proper form, coordination, and practice. ~ need help finding the best equipment? throwing a baseball is a. Throws A Baseball.
From baseballwall.blogspot.com
How Do You Throw A Slider In Baseball BaseBall Wall Throws A Baseball It requires a combination of proper form, coordination, and practice. understanding the mechanics of throwing a baseball. if you need to learn how to throw a baseball, this video on basic. Grab your free guide for buying new equipment right here: throwing a baseball is a skill that goes beyond mere physical strength. in today's video,. Throws A Baseball.
From www.numerade.com
SOLVEDProjectile Motion Baseball An outfielder throws a baseball at Throws A Baseball To throw a baseball with accuracy and power, one must. Grab your free guide for buying new equipment right here: in today's video, we give you an easy step by step guide on how to throw a. ~ need help finding the best equipment? understanding the mechanics of throwing a baseball. It requires a combination of proper. Throws A Baseball.